File:Bruhatons4basic.png
Size of this preview: 800 × 128 pixels. Other resolution: 2,624 × 419 pixels.
Original file (2,624 × 419 pixels, file size: 188 KB, MIME type: image/png)
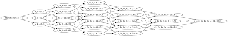
The Bruhat ordering on the symmetric group of degree four. See also element structure of symmetric group:S4. For a more complete picture, see File:Bruhatons4full.png.
File history
Click on a date/time to view the file as it appeared at that time.
| Date/Time | Thumbnail | Dimensions | User | Comment | |
|---|---|---|---|---|---|
| current | 03:57, 4 April 2010 | 2,624 × 419 (188 KB) | Vipul (talk | contribs) | added more missing arrows. | |
| 03:39, 4 April 2010 | 2,624 × 419 (169 KB) | Vipul (talk | contribs) | Corrected some of the arrows, names. | ||
| 03:27, 4 April 2010 | 2,597 × 419 (168 KB) | Vipul (talk | contribs) | The Bruhat ordering on the symmetric group of degree four. See also element structure of symmetric group:S4. For a more complete picture, refer File:Bruhatons4full.png. |
You cannot overwrite this file.
File usage
The following 2 pages use this file: