Element structure of symmetric groups
This article gives specific information, namely, element structure, about a family of groups, namely: symmetric group.
View element structure of group families | View other specific information about symmetric group
The symmetric group on a set is the group, under multiplication, of permutations of that set. The symmetric group of degree is the symmetric group on a set of size . For convenience, we consider the set to be .
This article discusses the element structure of the symmetric group of degree .
Here are links to more detailed information for small values of degree .
| (order of symmetric group) | symmetric group of degree | element structure page | |
|---|---|---|---|
| 0 | 1 | trivial group | -- |
| 1 | 1 | trivial group | -- |
| 2 | 2 | cyclic group:Z2 | -- |
| 3 | 6 | symmetric group:S3 | element structure of symmetric group:S3 |
| 4 | 24 | symmetric group:S4 | element structure of symmetric group:S4 |
| 5 | 120 | symmetric group:S5 | element structure of symmetric group:S5 |
| 6 | 720 | symmetric group:S6 | element structure of symmetric group:S6 |
| 7 | 5040 | symmetric group:S7 | element structure of symmetric group:S7 |
| 8 | 40320 | symmetric group:S8 | element structure of symmetric group:S8 |
| 9 | 362880 | symmetric group:S9 | element structure of symmetric group:S9 |
| 10 | 3628800 | symmetric group:S10 | element structure of symmetric group:S10 |
Conjugacy class structure and cycle type
General result
Further information: Cycle type, cycle type determines conjugacy class, conjugacy class size formula in symmetric group
The cycle type of a permutation on a set of size is defined as the corresponding unordered integer partition of into the sizes of the cycles in the cycle decomposition. For instance, the permutation has cycle type .
It turns out that there is a bijection between the set of conjugacy classes in the symmetric group of degree and the set of unordered integer partitions via the cycle type map, because cycle type determines conjugacy class.
The size of a conjugacy class corresponding to a cycle type with parts of size , is:
See also conjugacy class size formula in symmetric group.
Particular cases
FACTS TO CHECK AGAINST SPECIFICALLY FOR SYMMETRIC GROUPS AND ALTERNATING GROUPS:
Please read element structure of symmetric groups for a summary description.
Conjugacy class parametrization: cycle type determines conjugacy class (in symmetric group)
Conjugacy class sizes: conjugacy class size formula in symmetric group
Other facts: even permutation (definition) -- the alternating group is the set of even permutations | splitting criterion for conjugacy classes in the alternating group (from symmetric group)| criterion for element of alternating group to be real
| Degree | Number of conjugacy classes | List of conjugacy class sizes | Pairs of (partition,conjugacy class size) | More details |
|---|---|---|---|---|
| 1 | 1 | 1 | (1,1) | -- |
| 2 | 2 | 1,1 | (2,1), (1+1,1) | -- |
| 3 | 3 | 1,2,3 | (1+1+1,1), (3,2), (2+1,3) | link |
| 4 | 5 | 1,3,6,6,8 | (1+1+1+1,1), (2+2,3), (4,6), (2+1+1,6), (3+1,8) | link |
| 5 | 7 | 1,10,15,20,20,24,30 | (1+1+1+1+1,1), (2+1+1+1,10), (2+2+1,15), (3+2,20), (3+1+1,20), (5,24), (4+1,30) |
link |
| 6 | 11 | 1,15,15,40,40,45,90,90,120,120,144 | Too long to list | link |
| 7 | 15 | 1,21,70,105,105,210,210,280, 420,420,504,504,630,720,840 | Too long to list | link |
| 8 | 22 | 1, 28, 105, 112, 210, 420, 420, 1120, 1120, 1120, 1260, 1260, 1344, 1680, 2520, 2688, 3360, 3360, 3360, 4032, 5040, 5760 | Too long to list | link |
| 9 | 30 | 1, 36, 168, 378, 756, 945, 1260, 2240, 2520, 2520, 3024, 3360, 7560, 7560, 9072, 10080, 10080, 11340, 11340, 15120, 15120, 18144, 18144, 20160, 24192, 25920, 25920, 30240, 40320, 45360 | Too long to list | link |
| 10 | 42 | 1, 45, 240, 630, 945, 1260, 3150, 4725, 5040, 6048, 8400, 18900, 18900, 22400, 25200, 25200, 25200, 25200, 50400, 50400, 50400, 56700, 56700, 56700, 60480, 72576, 75600, 86400, 90720, 120960, 120960, 151200, 151200, 151200, 172800, 181440, 201600, 226800, 226800, 259200, 362880, 403200 | Too long to list | link |
Case
| Partition | Partition in grouped form | Verbal description of cycle type | Elements with the cycle type in cycle decomposition notation | Elements with the cycle type in one-line notation | Size of conjugacy class | Formula for size | Even or odd? If even, splits? If splits, real in alternating group? | Element order | Formula calculating element order |
|---|---|---|---|---|---|---|---|---|---|
| 1 + 1 + 1 | 1 (3 times) | three fixed points | -- the identity element | 123 | 1 | even; no | 1 | ||
| 2 + 1 | 2 (1 time), 1 (1 time) | transposition in symmetric group:S3: one 2-cycle, one fixed point | , , | 213, 321, 132 | 3 | odd | 2 | ||
| 3 | 3 (1 time) | 3-cycle in symmetric group:S3: one 3-cycle | , | 231, 312 | 2 | even; yes; no | 3 | ||
| Total (3 rows -- 3 being the number of unordered integer partitions of 3) | -- | -- | -- | -- | 6 (equals 3!, the size of the symmetric group) | -- | odd: 3 even;no: 1 even; yes; no: 2 |
order 1: 1, order 2: 3, order 3: 2 | -- |
Case
| Partition | Partition in grouped form | Verbal description of cycle type | Elements with the cycle type | Size of conjugacy class | Formula for size | Even or odd? If even, splits? If splits, real in alternating group? | Element order | Formula calculating element order |
|---|---|---|---|---|---|---|---|---|
| 1 + 1 + 1 + 1 | 1 (4 times) | four cycles of size one each, i.e., four fixed points | -- the identity element | 1 | even; no | 1 | ||
| 2 + 1 + 1 | 2 (1 time), 1 (2 times) | one transposition (cycle of size two), two fixed points | , , , , , | 6 | , also | odd | 2 | |
| 2 + 2 | 2 (2 times) | double transposition: two cycles of size two | , , | 3 | even; no | 2 | ||
| 3 + 1 | 3 (1 time), 1 (1 time) | one 3-cycle, one fixed point | , , , , , , , | 8 | or | even; yes; no | 3 | |
| 4 | 4 (1 time) | one 4-cycle, no fixed points | , , , , , | 6 | or | odd | 4 | |
| Total (5 rows, 5 being the number of unordered integer partitions of 4) | -- | -- | -- | 24 (equals 4!, the order of the whole group) | -- | odd: 12 (2 classes) even; no: 4 (2 classes) even; yes; no: 8 (1 class) |
order 1: 1 (1 class) order 2: 9 (2 classes) order 3: 8 (1 class) order 4: 6 (1 class) |
-- |
Case
| Partition | Partition in grouped form | Verbal description of cycle type | Representative element with the cycle type | Size of conjugacy class | Formula calculating size | Even or odd? If even, splits? If splits, real in alternating group? | Element order | Formula calcuating element order |
|---|---|---|---|---|---|---|---|---|
| 1 + 1 + 1 + 1 + 1 | 1 (5 times) | five fixed points | -- the identity element | 1 | even; no | 1 | ||
| 2 + 1 + 1 + 1 | 2 (1 time), 1 (3 times) | transposition: one 2-cycle, three fixed point | 10 | or , also in this case | odd | 2 | ||
| 3 + 1 + 1 | 3 (1 time), 1 (2 times) | one 3-cycle, two fixed points | 20 | or | even; no | 3 | ||
| 2 + 2 + 1 | 2 (2 times), 1 (1 time) | double transposition: two 2-cycles, one fixed point | 15 | or | even; no | 2 | ||
| 4 + 1 | 4 (1 time), 1 (1 time) | one 4-cycle, one fixed point | 30 | or | odd | 4 | ||
| 3 + 2 | 3 (1 time), 2 (1 time) | one 3-cycle, one 2-cycle | 20 | or | odd | 6 | ||
| 5 | 5 (1 time) | one 5-cycle | 24 | or | even; yes; yes | 5 | ||
| Total (7 rows, 7 being the number of unordered integer partitions of 5) | -- | -- | -- | 120 (equals order of the group) | -- | odd: 60 (3 classes) even;no: 36 (3 classes) even;yes;yes: 24 (1 class) |
[SHOW MORE] |
Groupings of conjugacy classes
Based on number of cycles
Further information: probability distribution of number of cycles of permutations, expected number of cycles of permutation equals harmonic number of degree
We can partition the set based on the number of cycles of each permutation. Since the number of cycles depends only on the cycle type, i.e., on the conjugacy class, this descends to a partition of the set of conjugacy classes in . The number of cycles can be any number , with .
- The number of elements of with exactly cycles is denoted and is termed the unsigned Stirling number of the first kind with parameters and . This is in contrast with the Stirling number of the second kind, which is the number of partitions of a set of size into nonempty subsets. The probability of cycles is thus . Further information: probability distribution of number of cycles of permutations
- The expected number of cycles in an element of is the harmonic number defined as . This is approximately for lrage . Further information: expected number of cycles of permutation equals harmonic number of degree
Based on number of fixed points
Further information: probability distribution of number of fixed points of permutations, expected number of fixed points of permutation equals one
We can partition the set based on the number of fixed points of each permutation. Since the number of fixed points depends only on the cycle type, i.e., on the conjugacy class, this descends to a partition of the set of conjugacy classes in . The number of fixed points can be any number , with and .
- The number of elements with fixed points is where is the derangement number, i.e., the number of permutations on a set of size with no fixed points. Further information: probability distribution of number of fixed points of permutations
- The expected number of fixed points is one. Further information: expected number of fixed points of permutation equals one
Other kinds of classifications/groupings of elements not invariant under conjugation
All of these require a total ordering on the set on which the group acts. For convenience, we assume a symmetric group of degree acting the usual way on the set .
For most of these, it is useful to think of the permutation as a string of length given by its one-line notation.
Looking at increase/decrease patterns
Here, we take a permutation on the set and obtain from it a binary string of length with letters and as follows: if the letter in the one-line notation of is greater than the letter, we write an in the letter of the binary string, and if it is smaller, we write a in the letter of the binary sequence. The increasing parts are called rises and the decreasing parts are called runs, so this is also called the rise-run pattern.
We can partition the set of permutations based on the rise/run patterns. Essentially, we are looking at the fibers of the map described above from to the set of size .
We may further be interested in grouping these fibers further by creating equivalence classes in . One common way of doing so is to look at the number of occurrences of and . The number of permutations that map to strings with s is termed the Eulerian number .
The Robinson-Schensted correspondence
The Robinson-Schensted correspondence encodes a permutation using a ordered pair of Young tableaux of size the same shape -- the position tableau and the shape tableau. This establishes a bijection between the set and the disjoint union, over all Young diagrams with boxes, of ordered pairs of Young tableaux of that shape. It turns out that for each Young diagram (which corresponds to an unordered integer partition), there is a corresponding representation of , and this representation has the same degree as the number of Young tableaux whose shape is that Young diagram.
The algorithm used in the correspondence is termed the bumping algorithm (there are many essentially equivalent variants).
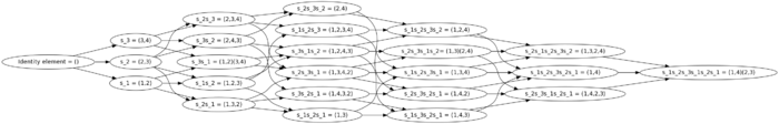
The Bruhat ordering
Further information: Bruhat ordering on symmetric groups
This is an ordering based on a generating set for , namely, the generators are of the form . There are such generators. The Bruhat length of an element of is the length of the shortest word for it in terms of those letters. We also define a partial ordering on all elements of based on whether a shortest word for one can be obtained from a shortest word for the other by multiplying on the left and right by s. The Bruhat ordering is the precise opposite to an entry-wise comparison ordering of the score matrices. The largest element in the Bruhat ordering is the antidiagonal permutation, given by . its Bruhat length is .
The partially ordered set we obtain via the Bruhat ordering exhibits two important symmetries: a symmetry corresponding to conjugation by the antidiagonal (which essentially means reversing the order) and a symmetry corresponding to a left-right interchange. There is also an anti-symmetry of the lattice obtained by left multiplication by the antidiagonal element .

